Surat Pernyataan Cpns Bpk. 30 Juni 14 Juli 2021. Kabarnya Badan Pemeriksa Keuangan Republik Indonesia membuka lowongan kerja CPNS. Pendaftaran CPNS BPK dilakukan secara online melalui situs sscnbkngoid Peserta CPNS diwaibkan melakukan pendaftaran Akun pada website tersebut. Surat Pernyataan CPNS BPK.
Surat Pernyataan Bpk
Surat Pernyataan Bpk From id.scribd.com
Bagaimana kelanjutan tes cpns setelah lulus 2018 Bagaimana nasib yang tidak lolos passing grade cpns 2018 Bagaimana jika kuota cpns tidak terpenuhi Bagaimana jika formasi cpns tidak ada ijazah yang sesuai
Kemenkum HAM Masih Paling Jadi Incaran BPK Nihil Pelamar. Lowongan CPNS BPK Badan Pemeriksa Keuangan Terbaru 2019. Pendaftaran Seleksi 30 Juni 21 Juli 2021. Panduan pendaftaran cpns 2019 lengkap login hingga cetak kartu. Nah bagi Anda yang sedang membutuhkan referensi tentang bagaiman cara membuat surat pernyataan CPNS berikut ini kami sediakan contoh surat pernyataan CPNS untuk lulusan SMA di salah satu Kementerian yang kebetulan di tahun 2018 ini sedang membuka pendaftaran CPNS. Informasi resmi yang terkait dengan Penerimaan CPNS pada pelaksana BPK Tahun Anggaran 2018 adalah.
Contoh Format Surat Lamaran CPNS dan Surat Pernyataan yang digunakan untuk mendaftar untuk Rekrutmen CPNS Tahun Anggaran 2019 ini telah kami ambil langsung dari website sscnbkngoid Format surat lamaran dan surat pernyataan ini bisa Anda download file aslinya berbentuk Microsoft Word.
Format Contoh Surat Pernyataan Cpns Bpk Ri yang Benar 2019. View SURAT PERNYATAAN FORMASI UMUM BPKdocx from UNKNOWN DSDFDS at St. Contoh Surat Pernyataan Cpns Bpk Ri have a graphic from the otherContoh Surat Pernyataan Cpns Bpk Ri In addition it will feature a picture of a sort that might be observed in the gallery of Contoh Surat Pernyataan Cpns Bpk Ri. CPNS hasil penerimaan Tahun Anggaran 2021 masih dimungkinkan untuk berpindah tempat tugas setelah ikatan wajib kerja 5 lima tahun sesuai dengan kebutuhan organisasi dengan mengacu pada poin 2. BPK berdasar Keputusan Menteri Pendayagunaan Aparatur Negara dan Reformasi Birokrasi Republik Indonesia nomor 874 tahun 2019 tentang. Surat Pernyataan BPK format diunduh pada portal CPNS BPK pdf Bukti penyetaraan ijazah dari Kementerian Riset Teknologi dan Pendidikan Tinggi khusus bagi pelamar lulusan luar negeri pdf Bukti akreditasi institusi yang menyatakan A atau unggul.
W9i1yq1igzxd5m
Source:
Surat pernyataan CPNS juga menggunakan materai 6000 dimana memang terikat dengan hukum. View SURAT PERNYATAAN FORMASI UMUM BPKdocx from UNKNOWN DSDFDS at St. The collection that consisting of chosen picture and the best among others. Membuat Surat Pernyataan dalam melamar CPNS bagi yang belum pernah memang sedikit susah. CPC members elected by the House of Representatives with respect to consideration of the Regional.
18 Contoh Surat Pernyataan Cpns Untuk Bpk
Source: formatsurat05.web.app
2229 setiap hari kerja jam 0900 1500 WIB Surat Elektronik. 5 Surat Pernyataan CPNS yang ditandatangani dan bermaterai. View SURAT PERNYATAAN FORMASI UMUM BPKdocx from UNKNOWN DSDFDS at St. Nah bagi Anda yang sedang membutuhkan referensi tentang bagaiman cara membuat surat pernyataan CPNS berikut ini kami sediakan contoh surat pernyataan CPNS untuk lulusan SMA di salah satu Kementerian yang kebetulan di tahun 2018 ini sedang membuka pendaftaran CPNS. Badan Pemeriksa Keuangan Republik Indonesia sekretariat jenderal merupakan salah satu lembaga yang saat ini sedang membuka penerimaan calon pegawai negeri sipil pada Tahun Anggaran 2019.
14 Contoh Surat Pernyataan Cpns Untuk Bpk Kumpulan Contoh Surat
Source: formatsurat.org
Pendaftaran CPNS BPK dilakukan secara online melalui situs sscnbkngoid Peserta CPNS diwaibkan melakukan pendaftaran Akun pada website tersebut. Surat pernyataan CPNS juga menggunakan materai 6000 dimana memang terikat dengan hukum. View SURAT PERNYATAAN FORMASI UMUM BPKdocx from UNKNOWN DSDFDS at St. Jadwal tahapan seleksi CPNS BPK tahun 2021. Berikut ini adalah contoh untuk surat pernyataan CPNS yang bisa jadi referensi.
Contoh Surat Pernyataan 1 Bpk
Source: id.scribd.com
30 Juni 14 Juli 2021. Contoh Surat Pernyataan Cpns Bpk Ri have a graphic from the otherContoh Surat Pernyataan Cpns Bpk Ri In addition it will feature a picture of a sort that might be observed in the gallery of Contoh Surat Pernyataan Cpns Bpk Ri. Panduan pendaftaran cpns 2019 lengkap login hingga cetak kartu. Berikut ini adalah contoh untuk surat pernyataan CPNS yang bisa jadi referensi. 5 Surat Pernyataan CPNS yang ditandatangani dan bermaterai.
18 Contoh Surat Pernyataan Cpns Untuk Bpk
Source: formatsurat05.web.app
CPNS hasil penerimaan Tahun Anggaran 2021 masih dimungkinkan untuk berpindah tempat tugas setelah ikatan wajib kerja 5 lima tahun sesuai dengan kebutuhan organisasi dengan mengacu pada poin 2. The collection that consisting of chosen picture and the best among others. Sehingga apabila Anda terbukti membuat surat ini secara rekayasa bisa ditempuh dengan jalur hukum. Berikut ini adalah contoh untuk surat pernyataan CPNS yang bisa jadi referensi. Surat Pernyataan BPK format diunduh pada portal CPNS BPK pdf maskimal 300 kb Bukti penyetaraan ijazah dari Kemenristek DIKTI khusus bagi pelamar lulusan luar negeri pdf maskimal 300 kb KTP Bapaklbu Kandung dan Surat Keterangan Hubungan Keluarga dari Kepala Desa atau Kepala Suku khusus formasi PutraPutri Papua dan Papua Barat pdf maskimal 300 kb.
14 Contoh Surat Pernyataan Cpns Untuk Bpk Kumpulan Contoh Surat
Source: formatsurat.org
Download Surat Lamaran dan Pernyataan Seleksi CPNS PDF Word. According to the 1945 Constitution the CPC is a free and independent institutions. Surat pernyataan CPNS juga menggunakan materai 6000 dimana memang terikat dengan hukum. Surat Pernyataan BPK format diunduh pada portal CPNS BPK pdf maskimal 300 kb Bukti penyetaraan ijazah dari Kemenristek DIKTI khusus bagi pelamar lulusan luar negeri pdf maskimal 300 kb KTP Bapaklbu Kandung dan Surat Keterangan Hubungan Keluarga dari Kepala Desa atau Kepala Suku khusus formasi PutraPutri Papua dan Papua Barat pdf maskimal 300 kb. Demikian surat pernyataan ini dibuat dengan sesungguhnya apabila salah satu pernyataan pada angka di atas ditemukan atau terbukti berseberangan atau tidak sesuai danatau tidak benar maka saya menerima keputusan panitia untuk membatalkan keikutsertaankelulusan saya pada seleksi CPNS Badan Pemeriksa Keuangan Tahun 2021 atau PNS dan diberhentikan dengan tidak hormat dari Badan.
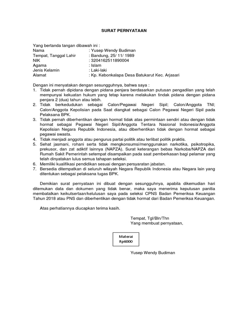
Surat Pernyataan Bpk Wendy
Source: id.scribd.com
Berikut ini adalah contoh untuk surat pernyataan CPNS yang bisa jadi referensi. Lowongan CPNS BPK Badan Pemeriksa Keuangan Terbaru 2019. Kemenkum HAM Masih Paling Jadi Incaran BPK Nihil Pelamar. Surat Pernyataan BPK format diunduh pada portal CPNS BPK pdf Bukti penyetaraan ijazah dari Kementerian Riset Teknologi dan Pendidikan Tinggi khusus bagi pelamar lulusan luar negeri pdf Bukti akreditasi institusi yang menyatakan A atau unggul. 17 hours agoakan dituangkan dalam surat pernyataan.
Surat Pernyataan Bpk
Source: id.scribd.com
Jadi Anda tidak perlu repot-repot harus mengetik ulang format surat. Panduan pendaftaran cpns 2019 lengkap login hingga cetak kartu. Pendaftaran Seleksi 30 Juni 21 Juli 2021. Khusus untuk CPNS di Kemenko Marves kementerian yang dipimpin Menko Marves Luhut Binsar Pandjaitan syarat lainnya yang harus disertakan saat melamar adalah harus surat pernyataan. Surat Pernyataan Formasi Umum SURAT PERNYATAAN Yang bertanda tangan dibawah ini.
Pin Di Desain Surat
Source: in.pinterest.com
Laman Resmi CPNS BPK RI httpscpnsbpkgoid. Khusus untuk CPNS di Kemenko Marves kementerian yang dipimpin Menko Marves Luhut Binsar Pandjaitan syarat lainnya yang harus disertakan saat melamar adalah harus surat pernyataan. Membuat Surat Pernyataan dalam melamar CPNS bagi yang belum pernah memang sedikit susah. Lowongan CPNS BPK Badan Pemeriksa Keuangan Terbaru 2019. Kemenkum HAM Masih Paling Jadi Incaran BPK Nihil Pelamar.
Contoh Surat Lamaran Kerja Ke Pizza Huts Riwayat Hidup Surat Surat Pengunduran Diri
Source: id.pinterest.com
Kemenkum HAM Masih Paling Jadi Incaran BPK Nihil Pelamar. Jadwal dan syarat pendaftaran CPNS KLHK 2021 Segera dibuka jadwal dan syarat pendaftaran CPNS BPK 2021 yang akan bersamaan dengan pembukaan seleksi penerimaan ASN secara serentak seluruh Indonesia. 5 Surat Pernyataan CPNS yang ditandatangani dan bermaterai. Membuat Surat Pernyataan dalam melamar CPNS bagi yang belum pernah memang sedikit susah. Surat pernyataan CPNS juga menggunakan materai 6000 dimana memang terikat dengan hukum.
Contoh Surat Pemberitahuan Acara Hut Ri Buku Tua Surat Pendidikan
Source: pinterest.com
Jadi Anda tidak perlu repot-repot harus mengetik ulang format surat. Selanjutnya melakukan upload dokumen file yang diperlukan untuk Semua Tingkat Pendidikan. Informasi resmi yang terkait dengan Penerimaan CPNS pada pelaksana BPK Tahun Anggaran 2018 adalah. Surat Pernyataan BPK format diunduh pada portal CPNS BPK pdf maskimal 300 kb Bukti penyetaraan ijazah dari Kemenristek DIKTI khusus bagi pelamar lulusan luar negeri pdf maskimal 300 kb KTP Bapaklbu Kandung dan Surat Keterangan Hubungan Keluarga dari Kepala Desa atau Kepala Suku khusus formasi PutraPutri Papua dan Papua Barat pdf maskimal 300 kb. Nah bagi Anda yang sedang membutuhkan referensi tentang bagaiman cara membuat surat pernyataan CPNS berikut ini kami sediakan contoh surat pernyataan CPNS untuk lulusan SMA di salah satu Kementerian yang kebetulan di tahun 2018 ini sedang membuka pendaftaran CPNS.
Hasil Skb Bpk Kelulusan Tahap Akhir Cpns Badan Pemeriksa Keuangan Tipssehatcantik Com
Source: tipssehatcantik.com
Formasi CPNS 2021 Jumlah lowongan Pendaftaran Calon Pegawai Negeri Sipil Lulusan SMA D3 S1. Pendaftaran Seleksi 30 Juni 21 Juli 2021. Badan Pemeriksa Keuangan BPK is higher institutions in the state system Indonesian state has the authority and responsibility of checking the management of state finances. Contoh Surat Pernyataan Cpns Untuk Bpk - Nah bagi anda yang sedang membutuhkan referensi tentang bagaiman cara membuat surat pernyataan cpns berikut ini kami sediakan contoh surat pernyataan cpns untuk lulusan sma di salah satu kementerian yang kebetulan di tahun 2018 ini sedang membuka pendaftaran cpns. Surat Pernyataan CPNS BPK.
14 Contoh Surat Pernyataan Cpns Untuk Bpk Kumpulan Contoh Surat
Source: formatsurat.org
Surat Pernyataan BPK format diunduh pada portal CPNS BPK pdf maskimal 300 kb Bukti penyetaraan ijazah dari Kemenristek DIKTI khusus bagi pelamar lulusan luar negeri pdf maskimal 300 kb KTP Bapaklbu Kandung dan Surat Keterangan Hubungan Keluarga dari Kepala Desa atau Kepala Suku khusus formasi PutraPutri Papua dan Papua Barat pdf maskimal 300 kb. The collection that consisting of chosen picture and the best among others. Sehingga apabila Anda terbukti membuat surat ini secara rekayasa bisa ditempuh dengan jalur hukum. Surat Pernyataan CPNS BPK. 17 hours agoakan dituangkan dalam surat pernyataan.
Contoh Surat Penawaran Kain Surat Brosur Tulisan
Source: id.pinterest.com
17 hours agoakan dituangkan dalam surat pernyataan. Surat pernyataan CPNS juga menggunakan materai 6000 dimana memang terikat dengan hukum. Berikut ini adalah contoh untuk surat pernyataan CPNS yang bisa jadi referensi. 17 hours agoakan dituangkan dalam surat pernyataan. Sebelum anda lakukan upload file sebaiknya baca dulu persyaratan dan ketentuan File yang diupload CPNS Badan Pemeriksa Keuangan di SSCN.
Surat Pernyataan Bpk
Source: id.scribd.com
30 Juni 14 Juli 2021. CPC members elected by the House of Representatives with respect to consideration of the Regional. Kemenkum HAM Masih Paling Jadi Incaran BPK Nihil Pelamar. Surat Pernyataan BPK format diunduh pada portal CPNS BPK pdf Bukti penyetaraan ijazah dari Kementerian Riset Teknologi dan Pendidikan Tinggi khusus bagi pelamar lulusan luar negeri pdf Bukti akreditasi institusi yang menyatakan A atau unggul. Sehingga apabila Anda terbukti membuat surat ini secara rekayasa bisa ditempuh dengan jalur hukum.
This site is an open community for users to submit their favorite wallpapers on the internet, all images or pictures in this website are for personal wallpaper use only, it is stricly prohibited to use this wallpaper for commercial purposes, if you are the author and find this image is shared without your permission, please kindly raise a DMCA report to Us.
If you find this site value, please support us by sharing this posts to your preference social media accounts like Facebook, Instagram and so on or you can also save this blog page with the title surat pernyataan cpns bpk by using Ctrl + D for devices a laptop with a Windows operating system or Command + D for laptops with an Apple operating system. If you use a smartphone, you can also use the drawer menu of the browser you are using. Whether it’s a Windows, Mac, iOS or Android operating system, you will still be able to bookmark this website.
