Persyaratan Cpns Bin. Syarat Pendaftaran CPNS BIN Selain lulusan SMA tentunya ada beberapa syarat lagi yang harus dipenuhi oleh pendaftar CPNS BIN 2021. Persyaratan Dokumen dan Formasi CPNS 2019 Lulusan SMA di BIN. Badan Intelijen Negara BIN CPNS 2021 syarat. Berdasarkan Surat Kepala Badan Kepegawaian Negara selaku Ketua Tim Pelaksana Seleksi Pengadaan CPNS Tahun 2019 Nomor K26-30B4003X2001 tanggal 31 Oktober 2020 perihal Penyampaian Hasil Integrasi Nilai SKD-SKB CPNS Badan Intelijen Negara.
Infocpns Cpns Bin
Infocpns Cpns Bin From info-cpns-update1.blogspot.com
Cara mengisi surat pernyataan pelamar cpns kemenkumham 2019 Cara mengisi nomor ijazah sma untuk cpns Cara mengubah dokumen yang sudah diunggah cpns Cara mengisi nilai pada pendaftaran cpns
HASIL SELEKSI AKHIR PENERIMAAN CALON PEGAWAI NEGERI SIPIL BADAN INTELIJEN NEGARA TAHUN ANGGARAN 2019. Lowongan CPNS Sudah Buka Awas Ada Syarat Khusus. Usia saat mendaftar minimal 18 tahun 0 bulan 0 hari dan maksimal 35 tahun 0 bulan 0 hari. Peng - 11 XI 2019 tentang Seleksi Penerimaan Calon Pegawai Negeri Sipil Badan Intelijen Negara Tahun Anggaran 2019. Pos Indonesia adalah sebuah perusahaan BUMN atau badan usaha milik negara di Indonesia yang bergerak di bidang layanan pos. Jumlah lowongan formasi Seleksi penerimaan rekrutmen CPNS BIN 2021 sudah ditunggu-tunggu oleh banyak orang yang ingin menjadi ASNSesuai informasi yang beredar bahwa pendaftaran CPNS tahun ini akan dimulai bulan Mei.
Berdasarkan Keputusan Menteri Pendayagunaan Aparatur Negara dan Reformasi Birokrasi Nomor 956 Tahun 2021 tanggal 31 Mei 2021 Badan Intelijen Negara BIN memberikan kesempatan kepada.
CPNS Kementerian Kesehatan Ada Ribuan Formasi Tenaga Kesehatan Dokter Perawat Nakes dan Teknis Ini Tanggapan BKN Soal Kabar CPNS 2020 Ditiadakan INFO Soal SKB Tes Paling Menentukan Jadi CPNS. Persyaratan Dokumen dan Formasi CPNS 2019 Lulusan SMA di BIN. Kali ini BIN membuka kesempatan bagi putra-putri terbaik lulusan SMASMKMA di Indonesia untuk mengikuti seleksi penerimaan taruna. Bentuk badan usaha Pos Indonesia merupakan perseroan terbatas dan sering disebut dengan PT. BINgoid - Cara Pendaftaran Online CPNS BINgoid 2021-2022 - Badan Intelijen Negara atau BIN adalah salah satu badan yang membuka kesempatan bagi mereka yang ingin menjadi Pegawai Negeri Sipil atau PNS di badan tersebut. Adapun formasi umum yang dibutuhkan sebanyak 121 formasi untuk jabatan.
Seleksi Cpns Bin 2021 Simak Persyaratan Dan Informasi Lengkap Lainnya
Source: money.kompas.com
Badan Intelijen Negara atau BIN resmi membuka lowongan CPNS 2021. Adapun formasi umum yang dibutuhkan sebanyak 121 formasi untuk jabatan. Berdasarkan Surat Kepala Badan Kepegawaian Negara selaku Ketua Tim Pelaksana Seleksi Pengadaan CPNS Tahun 2019 Nomor K26-30B4003X2001 tanggal 31 Oktober 2020 perihal Penyampaian Hasil Integrasi Nilai SKD-SKB CPNS Badan Intelijen Negara. HASIL SELEKSI AKHIR PENERIMAAN CALON PEGAWAI NEGERI SIPIL BADAN INTELIJEN NEGARA TAHUN ANGGARAN 2019. CPNS Kementerian Kesehatan Ada Ribuan Formasi Tenaga Kesehatan Dokter Perawat Nakes dan Teknis Ini Tanggapan BKN Soal Kabar CPNS 2020 Ditiadakan INFO Soal SKB Tes Paling Menentukan Jadi CPNS.
Infocpns Cpns Bin
Source: info-cpns-update1.blogspot.com
Badan Intelijen Negara BIN CPNS 2021 syarat. Jakarta CNBC Indonesia - Sejumlah kementerian. Badan Intelijen Negara atau BIN resmi membuka lowongan CPNS 2021. Cek Syarat CPNS BIN 2021 dan Tahapan Tes CPNS BIN 2021 Berdasarkan pengumuman BIN tersebut ada 118 jabatan dan yang bisa dilamar dengan kualifikasi pendidikan SMA hingga S-2. Syarat daftar CPNS BIN 2021 cara ketentuan hingga isi.
Berita Harian Cpns Bin Terbaru Hari Ini Kompas Com
Source: kompas.com
Usia saat mendaftar minimal 18 tahun 0 bulan 0 hari dan maksimal 35 tahun 0 bulan 0 hari. Uni Komunitas Islam Italia UCOI menyatakan sebanyak 70 ribu warga Italia memeluk Islam. Syarat Pendaftaran CPNS BIN Selain lulusan SMA tentunya ada beberapa syarat lagi yang harus dipenuhi oleh pendaftar CPNS BIN 2021. Persyaratan untuk melamar CPNS BIN sama seperti di kementerianlembaga lain. Adapun formasi umum yang dibutuhkan sebanyak 121 formasi untuk jabatan.
Pengumuman Daftar Nama Hasil Seleksi Administrasi Cpns Badan Intelijen Negara Bin 2017
Source: caradaftarcpns.com
Dari banyaknya lowongan tersebut dibagi menjadi beberapa bagian. Berikut adalah persyaratan pelamaran seleksi CPNS 2021 tersebut. Badan Intelijen Negara atau BIN resmi membuka lowongan CPNS 2021. Pos Indonesia adalah sebuah perusahaan BUMN atau badan usaha milik negara di Indonesia yang bergerak di bidang layanan pos. Dari banyaknya lowongan tersebut dibagi menjadi beberapa bagian.
Penerimaan Cpns 2017 Gelombang Ii Badan Intelijen Negara Alokasikan 199 Formasi Ini Syarat Serta Cara Pendaftarannya Kabar24 Bisnis Com
Source: kabar24.bisnis.com
CPNS Kementerian Kesehatan Ada Ribuan Formasi Tenaga Kesehatan Dokter Perawat Nakes dan Teknis Ini Tanggapan BKN Soal Kabar CPNS 2020 Ditiadakan INFO Soal SKB Tes Paling Menentukan Jadi CPNS. Dari banyaknya lowongan tersebut dibagi menjadi beberapa bagian. Saat ini begitu banyak warga Italia yang menghubungi kami untuk bertanya tentang Islam. Namun sebelum mendaftar pastikan bahwa Anda memenuhi syarat pelamar CPNS 2021. Syarat Pendaftaran CPNS BIN Selain lulusan SMA tentunya ada beberapa syarat lagi yang harus dipenuhi oleh pendaftar CPNS BIN 2021.
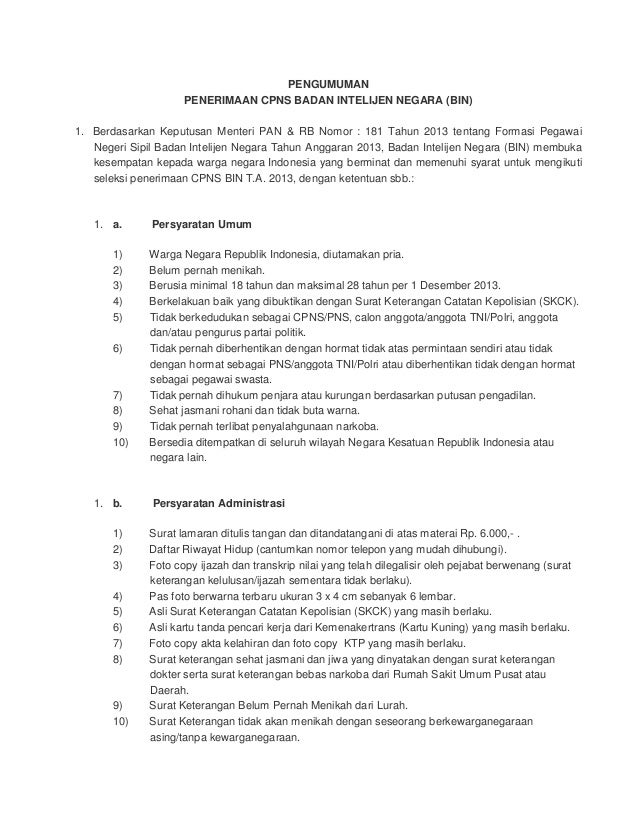
Cpns Bin 2013
Source: slideshare.net
Berikut batas usia hingga ketentuan umum peserta CPNS 2021 yang telah ditetapkan oleh BKN dan diumumkan dalam portal SSCASN. Lowongan CPNS Sudah Buka Awas Ada Syarat Khusus 2. Badan Intelijen Negara BIN CPNS 2021 syarat. Syarat Pendaftaran CPNS BIN Selain lulusan SMA tentunya ada beberapa syarat lagi yang harus dipenuhi oleh pendaftar CPNS BIN 2021. BANGKAPOSCOM –Badan Intelijen Negara BIN melakukan pengadaan CASN atau CPNS 2021Sejumlah formasi ditawarkan dan beberapa syarat tambahan harus dipenuhi pelamar.
Penerimaan Cpns 2017 Gelombang Ii Badan Intelijen Negara Alokasikan 199 Formasi Ini Syarat Serta Cara Pendaftarannya Kabar24 Bisnis Com
Source: kabar24.bisnis.com
CPNS Kementerian Kesehatan Ada Ribuan Formasi Tenaga Kesehatan Dokter Perawat Nakes dan Teknis Ini Tanggapan BKN Soal Kabar CPNS 2020 Ditiadakan INFO Soal SKB Tes Paling Menentukan Jadi CPNS. Dan berikut persyaratan CPNS formasi khusus BIN berdasarkan pengumuman instansi tersebut Nomor. Info lengkap bisa klik httpswwwbingoid. Menurut UCOI meningkatnya jumlah warga Italia memeluk Islam karena krisis ekonomi dan nilai yang dialami mereka. CPNS Kementerian Kesehatan Ada Ribuan Formasi Tenaga Kesehatan Dokter Perawat Nakes dan Teknis Ini Tanggapan BKN Soal Kabar CPNS 2020 Ditiadakan INFO Soal SKB Tes Paling Menentukan Jadi CPNS.
Buka 86 Lowongan Cpns Bin Terima Berbagai Jurusan Bisnis Liputan6 Com
Source: liputan6.com
Saat ini begitu banyak warga Italia yang menghubungi kami untuk bertanya tentang Islam. Dari banyaknya lowongan tersebut dibagi menjadi beberapa bagian. Badan Intelijen Negara BIN CPNS 2021 syarat. Lowongan CPNS Sudah Buka Awas Ada Syarat Khusus 2. Adapun formasi CPNS untuk lulusan SMASMK di Kejagung cukup banyak yakni 990 formasi.
Badan Intelijen Negara Rilis 721 Formasi Cpns 2019 Cek Lowongan Dan Kualifikasi Pendidikanya Tribunnews Com Mobile
Source: tribunnews.com
Saat ini begitu banyak warga Italia yang menghubungi kami untuk bertanya tentang Islam. Berdasarkan Keputusan Menteri Pendayagunaan Aparatur Negara dan Reformasi Birokrasi Nomor 956 Tahun 2021 tanggal 31 Mei 2021 Badan Intelijen Negara BIN memberikan kesempatan kepada. Cek Syarat CPNS BIN 2021 dan Tahapan Tes CPNS BIN 2021 Berdasarkan pengumuman BIN tersebut ada 118 jabatan dan yang bisa dilamar dengan kualifikasi pendidikan SMA hingga S-2. 2 dari 4 halaman. Dan berikut persyaratan CPNS formasi khusus BIN berdasarkan pengumuman instansi tersebut Nomor.
Pengumuman Cpns Bin Simak Sayarat Dan Kelengkapan Dokumen Yang Diperlukan Halaman 2 Tribun Pekanbaru
Source: pekanbaru.tribunnews.com
Berikut adalah persyaratan pelamaran seleksi CPNS 2021 tersebut. Adapun penerimaan formasi PNS di BIN adalah sebanyak 199. Analis Data dan Informasi. Badan Intelijen Negara atau BIN resmi membuka lowongan CPNS 2021. Untuk info lebih lengkap terkait persyaratan pendaftaran bisa kamu cek informasi yang sudah Mamikos kutip dari situs ptbstinacid berikut ini.
Info Terlengkap Cpns Bin 2021 Www Bin Go Id Karir Login Daftar Sekarang Tribun Pontianak
Source: pontianak.tribunnews.com
Info Penerimaan CPNS BIN 2019 Mulai dari Persyaratan hingga Formasi SURYAcoid - Informasi penerimaan calon pegawai negeri sipil atau CPNS 2019 di Badan Intelijen Negara BIN sudah dipublikasikan. BINgoid - Cara Pendaftaran Online CPNS BINgoid 2021-2022 - Badan Intelijen Negara atau BIN adalah salah satu badan yang membuka kesempatan bagi mereka yang ingin menjadi Pegawai Negeri Sipil atau PNS di badan tersebut. Uni Komunitas Islam Italia UCOI menyatakan sebanyak 70 ribu warga Italia memeluk Islam. Informasi lebih lanjut mengenai persyaratan formasi di Kejagung dapat diakses di. Dari banyaknya lowongan tersebut dibagi menjadi beberapa bagian.
Infocpns Cpns Bin
Source: info-cpns-update1.blogspot.com
Berikut adalah persyaratan pelamaran seleksi CPNS 2021 tersebut. 2 dari 4 halaman. Persyaratan Dokumen dan Formasi CPNS 2019 Lulusan SMA di BIN. Cek Syarat CPNS BIN 2021 dan Tahapan Tes CPNS BIN 2021 Berdasarkan pengumuman BIN tersebut ada 118 jabatan dan yang bisa dilamar dengan kualifikasi pendidikan SMA hingga S-2. Dari banyaknya lowongan tersebut dibagi menjadi beberapa bagian.
Jadwal Syarat Cara Pendaftaran Cpns Bin 2021 Lulusan Sma D3 S1
Source: tipssehatcantik.com
CPNS 2021 Badan Intelijen Negara CPNS 2021. Apa saja syarat pelamar CPNS 2021. Uni Komunitas Islam Italia UCOI menyatakan sebanyak 70 ribu warga Italia memeluk Islam. Namun sebelum mendaftar pastikan bahwa Anda memenuhi syarat pelamar CPNS 2021. Fakta ini benar-benar positif kata dia seperti dikutipagiit Ahad 65.
Pengumuman Cpns Bin 2021 Pendaftaran Formasi Hasil Seleksi Idezia
Source: idezia.com
Peng - 11 XI 2019 tentang Seleksi Penerimaan Calon Pegawai Negeri Sipil Badan Intelijen Negara Tahun Anggaran 2019. Persyaratan Dokumen dan Formasi CPNS 2019 Lulusan SMA di BIN. Informasi lebih lanjut mengenai persyaratan formasi di Kejagung dapat diakses di. Apa saja syarat pelamar CPNS 2021. Untuk info lebih lengkap terkait persyaratan pendaftaran bisa kamu cek informasi yang sudah Mamikos kutip dari situs ptbstinacid berikut ini.
Jadwal Syarat Cara Pendaftaran Cpns Bin 2021 Lulusan Sma D3 S1
Source: tipssehatcantik.com
BINgoid - Cara Pendaftaran Online CPNS BINgoid 2021-2022 - Badan Intelijen Negara atau BIN adalah salah satu badan yang membuka kesempatan bagi mereka yang ingin menjadi Pegawai Negeri Sipil atau PNS di badan tersebut. Badan Intelijen Negara atau BIN resmi membuka lowongan CPNS 2021. Analis Data dan Informasi. Saat ini begitu banyak warga Italia yang menghubungi kami untuk bertanya tentang Islam. Dan berikut persyaratan CPNS formasi khusus BIN berdasarkan pengumuman instansi tersebut Nomor.
This site is an open community for users to do sharing their favorite wallpapers on the internet, all images or pictures in this website are for personal wallpaper use only, it is stricly prohibited to use this wallpaper for commercial purposes, if you are the author and find this image is shared without your permission, please kindly raise a DMCA report to Us.
If you find this site adventageous, please support us by sharing this posts to your own social media accounts like Facebook, Instagram and so on or you can also bookmark this blog page with the title persyaratan cpns bin by using Ctrl + D for devices a laptop with a Windows operating system or Command + D for laptops with an Apple operating system. If you use a smartphone, you can also use the drawer menu of the browser you are using. Whether it’s a Windows, Mac, iOS or Android operating system, you will still be able to bookmark this website.
