Contoh Surat Lamaran Cpns Kab Cilacap. Tahun sejak diangkat menjadi calon pegawai negeri sipil cpns di lingkungan pemerintah provinsi riau yang ditandatangani di atas materai rp. TRIBUNPONTIANAKCOID - Dalam rangka pengisian kebutuhan Pegawai Negeri Sipil PNS Badan Kepegawaian Negara BKN sebagaimana telah ditetapkan dalam Keputusan Menteri Pendayagunaan Aparatur Negara dan Reformasi Birokrasi Nomor 983 Tahun. Aplikasi ini dibuat dengan mengikuti panduan yang terdapat pada Peraturan Menteri Pendayagunaan Aparatur Negara dan Reformasi. Contoh Surat Lamaran CPNS 2019.
Download Contoh Surat Lamaran Cpns 2018 Komunitas Smk Kabupaten Grobogan
Download Contoh Surat Lamaran Cpns 2018 Komunitas Smk Kabupaten Grobogan From smk-grobogan.net
Cek seleksi berkas cpns Cek selelksi administrasi cpns Cek yang sudah melamar cpns Cetak informasi pendaftaran cpns
Rincian Formasi dan Tenaga Prioritas Penerimaan CPNS Kabupaten Cilacap 2019 dan PPPK P3K Jadwal Pendaftaran Rincian Formasi Tenaga Prioritas Info BKN. Semoga kuota formasi CPNS Kabupaten Cilacap lulusan SMA SMK D3 S1 cukup banyak. Aplikasi ini dibuat dengan mengikuti panduan yang terdapat pada Peraturan Menteri Pendayagunaan Aparatur Negara dan Reformasi. Surat pernyataan bermaterai rp. Dan syarat-syarat khusus yang ditentukan oleh panitia. 6000- yang sudah diisi.
Contoh Format Surat Lamaran CPNS 2021 Kemhan dan Surat Pernyataan 11 Point yang nantinya harus diunggah saat pendaftaran di sscasnbkngoid.
Badan Kepegawaian Negara BKN mengumumkan ada sekitar 254173 lowongan Calon Pegawai Negeri Sipil atau CPNS dan Pegawai Pemerintah dengan Perjanjian Kerja atau PPPK atau P3K usai Lebaran. Contoh Format Surat Lamaran CPNS 2021 Kemhan dan Surat Pernyataan 11 Point yang nantinya harus diunggah saat pendaftaran di sscasnbkngoid. Formasi CPNS 2019 Pemkab Cilacap kemungkinan juga akan membuka dari lulusan SMA SMK D3 S1. Namun bukan berarti jika surat lamaran CPNS sama sekali tidak dibutuhkan oleh semua orang. Tahun sejak diangkat menjadi calon pegawai negeri sipil cpns di lingkungan pemerintah provinsi riau yang ditandatangani di atas materai rp. Kepala Badan Kepegawaian Pendidikan dan Pelatihan di Sumbawa Besar 1.
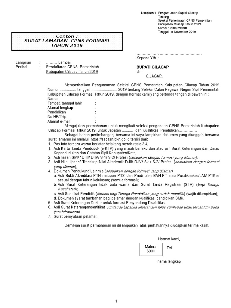
Contoh Surat Lamaran Cpns Kab Cilacap Contoh Surat Lamaran
Source: koleksisuratlamaran.blogspot.com
Contoh Surat Lamaran CPNS 2019. Demikianlah permohonan saya atas perhatian dan perkenan bapak diucapkan terima kasih. Contoh surat lamaran peserta cpns tulisan tangan pekanbaru november 2019 kepada yth. Surat Pernyataan CPNS KAB CILACAP 2019 merupakan surat untuk melamar menjadi calon pegawai negeri sipil di lingkungan kerja KAB CILACAP. Email Surat Anda ke.
Download Lowongan Kerja Non Pns Di Rsud Cilacap Tahun 2017
Source: contohsuratlengkap.org
Yang bertanda tangan di bawah ini. Email Surat Anda ke. Contoh Surat Lamaran CPNS 2019. Seleksi Penerimaan CPNS Pemerintah Kabupaten Cilacap Tahun 2019. Surat Pernyataan CPNS KAB CILACAP 2019 merupakan surat untuk melamar menjadi calon pegawai negeri sipil di lingkungan kerja KAB CILACAP.
Ini Format Surat Lamaran Cpns Dan Pppk 2021 Wajib Ditulis Tangan Portal Sulut
Source: portalsulut.pikiran-rakyat.com
Rincian Formasi dan Tenaga Prioritas Penerimaan CPNS Kabupaten Cilacap 2019 dan PPPK P3K Jadwal Pendaftaran Rincian Formasi Tenaga Prioritas Info BKN. Lampiran 1 Pengumuman Bupati Cilacap Tentang. Membuat Surat Lamaran CPNS bagi yang belum pernah memang sedikit susah. Contoh Surat Lamaran dan Pernyataan CPNS 2019 Kemendikbud untuk Lulusan SMK D3 dan S1. 6000- yang sudah diisi.
Revisi Contoh Format Surat Lamaran Formasi Eks K Ii Disabilitas Umum Dan Cumlaude Bkpsdm Kab Sampang
Source: bkpsdm.sampangkab.go.id
Surat Pernyataan bermaterai Rp. Seleksi Penerimaan CPNS Pemerintah Kabupaten Cilacap Tahun 2019. Nah bagi Anda yang sedang membutuhkan referensi tentang bagaiman cara membuat surat lamaran CPNS berikut ini kami sediakan contoh surat lamaran CPNS untuk lulusan SMA di salah satu Kementerian yang kebetulan di tahun 2019 ini sedang membuka pendaftaran CPNS. Email Surat Anda ke. Kabupaten Cilacap sebelum memiliki masa kerja aktif sekurang-kurangnya 8 delapan tahun dihitung sejak Pengangkatan CPNS dibuktikan dengan Surat Pernyataan yang dibubuhi materai Rp.
Contoh Surat Lamaran Kerja Pppk Untuk Formasi Guru Kontrak Di Pemda Dan Pemprov Matamu
Source: matamu.net
6000- yang sudah diisi. Contoh surat cpns pppk teks. Nah bagi Anda yang sedang membutuhkan referensi tentang bagaiman cara membuat surat lamaran CPNS berikut ini kami sediakan contoh surat lamaran CPNS untuk lulusan SMA di salah satu Kementerian yang kebetulan di tahun 2019 ini sedang membuka pendaftaran CPNS. Semoga kuota formasi CPNS Kabupaten Cilacap lulusan SMA SMK D3 S1 cukup banyak. Demikian kami sampaikan atas perhatiannya saya ucapkan terima kasih.
Surat Lamaran Kerja Bidan Kebidanan Pendidikan Surat
Source: pinterest.com
Lampiran 1 Pengumuman Bupati Cilacap Tentang. Kepala Badan Kepegawaian Pendidikan dan Pelatihan di Sumbawa Besar 1. Demikian kami sampaikan atas perhatiannya saya ucapkan terima kasih. Yang bertanda tangan di bawah ini. Tahun sejak diangkat menjadi calon pegawai negeri sipil cpns di lingkungan pemerintah provinsi riau yang ditandatangani di atas materai rp.
Contoh Surat Lamaran Cpns Tahun 2021 Persiapan Dokumen Daftar Cpns Mulai Akhir Mei 2021 Klik Sscasn Tribun Pontianak
Source: pontianak.tribunnews.com
Aplikasi ini dibuat dengan mengikuti panduan yang terdapat pada Peraturan Menteri Pendayagunaan Aparatur Negara dan Reformasi. Cilacap- Blanko Daftar Riwayat Hidup DRH- Persyaratan Pemberkasan Usul Penetapan NIP CPNS dari Program Pegawai Tidak Tetap PTT Kementerian Kesehatan di Lingkungan Pemerintah Kabupaten Cilacap Tahun Anggaran 2017 -. Contoh surat lamaran peserta cpns tulisan tangan pekanbaru november 2019 kepada yth. Surat Pernyataan CPNS KAB CILACAP 2019 merupakan surat untuk melamar menjadi calon pegawai negeri sipil di lingkungan kerja KAB CILACAP. 6000- yang sudah diisi.
Contoh Form Surat Lamaran Cpns Juli 2021 Terbaru Info Cpns 2021 Bumn 2021
Source: informasicpnsbumn.com
6000- yang sudah diisi. Peminat yang memenuhi kualifikasi dan persyaratan dapat mendaftarkan diri dengan mengirimkan lamaran kepada Bupati Cilacap melalui P0 BOX. 6000- yang sudah diisi. TRIBUNPONTIANAKCOID - Dalam rangka pengisian kebutuhan Pegawai Negeri Sipil PNS Badan Kepegawaian Negara BKN sebagaimana telah ditetapkan dalam Keputusan Menteri Pendayagunaan Aparatur Negara dan Reformasi Birokrasi Nomor 983 Tahun. Nah bagi Anda yang sedang membutuhkan referensi tentang bagaiman cara membuat surat lamaran CPNS berikut ini kami sediakan contoh surat lamaran CPNS untuk lulusan SMA di salah satu Kementerian yang kebetulan di tahun 2019 ini sedang membuka pendaftaran CPNS.
Download Contoh Surat Lamaran Cpns 2018 Komunitas Smk Kabupaten Grobogan
Source: smk-grobogan.net
Fotokopi kartu tanda penduduk ktpsurat keterangan suket tentang data diri dan. Seleksi Penerimaan CPNS Pemerintah Kabupaten Cilacap Tahun 2019. Kepala Badan Kepegawaian Pendidikan dan Pelatihan di Sumbawa Besar 1. Contoh Surat Lamaran CPNS 2019. Peserta wajib mengirimkan Surat lamaran yang ditujukan kepada Bupati Cilacap PO BOX CPNS KABUPATEN CILACAP 2014 dalam amplop tertutup ukuran 35 x 25 cm dengan dilampiri.
Contoh Form Surat Lamaran Cpns Juli 2021 Terbaru Info Cpns 2021 Bumn 2021
Source: informasicpnsbumn.com
Hormat saya nama pelamar materai. Demikianlah permohonan saya atas perhatian dan perkenan bapak diucapkan terima kasih. Aplikasi ini dibuat dengan mengikuti panduan yang terdapat pada Peraturan Menteri Pendayagunaan Aparatur Negara dan Reformasi. Contoh Format Surat Lamaran CPNS 2021 Kemhan dan Surat Pernyataan 11 Point yang nantinya harus diunggah saat pendaftaran di sscasnbkngoid. Lampiran 1 Pengumuman Bupati Cilacap Tentang.
Contoh Surat Lamaran
Source: id.scribd.com
Surat pernyataan bermaterai rp. Aplikasi Surat Online Kabupaten Cilacap merupakan suatu sistem persuratan yang memanfaatkan teknologi informasi sebagai media pencatatannya. Peserta wajib mengirimkan Surat lamaran yang ditujukan kepada Bupati Cilacap PO BOX CPNS KABUPATEN CILACAP 2014 dalam amplop tertutup ukuran 35 x 25 cm dengan dilampiri. Surat Pernyataan CPNS KAB CILACAP 2019 merupakan surat untuk melamar menjadi calon pegawai negeri sipil di lingkungan kerja KAB CILACAP. Cilacap- Blanko Daftar Riwayat Hidup DRH- Persyaratan Pemberkasan Usul Penetapan NIP CPNS dari Program Pegawai Tidak Tetap PTT Kementerian Kesehatan di Lingkungan Pemerintah Kabupaten Cilacap Tahun Anggaran 2017 -.
Pazabskayp881m
Source:
Pas photo ukuran 3 X 4 sebanyak 4 lembar terbaru. Cilacap- Blanko Daftar Riwayat Hidup DRH- Persyaratan Pemberkasan Usul Penetapan NIP CPNS dari Program Pegawai Tidak Tetap PTT Kementerian Kesehatan di Lingkungan Pemerintah Kabupaten Cilacap Tahun Anggaran 2017 -. Dalam rangka mengisi lowongan kebutuhan Calon Pegawai Negeri Sipil sebagaimana telah ditetapkan dalam Keputusan Menteri Pendayagunaan Aparatur Negara dan Reformasi Birokrasi Republik Indonesia Nomor 307 Tahun 2018 Tanggal 30 Agustus 2018 tentang Kebutuhan Pegawai Aparatur Sipil Negara di Lingkungan Pemerintah Kabupaten Cilacap Tahun Anggaran 2018 maka Pemerintah Kabupaten Cilacap. Surat Pernyataan CPNS KAB CILACAP 2019 merupakan surat untuk melamar menjadi calon pegawai negeri sipil di lingkungan kerja KAB CILACAP. Contoh surat lamaran peserta cpns tulisan tangan pekanbaru november 2019 kepada yth.
Surat Pernyataan
Source: id.scribd.com
Contoh Format Surat Lamaran CPNS atau CASN Kepada Bupati - Walikota ini merupakan salah referensi yang baik dan benar sesuai harapan anda bisa digunakan untuk Contoh Format CPNS dan CASN Microsoft Word Surat Lamaran dengan demikian file tersebut bisa memenuhi dan mengakhiri pencarian di Google. 6000- oleh calon pelamar. Yang bertanda tangan di bawah ini. N a m a. Dalam mendaftar CPNS maka surat lamaran CPNS tidak selamanya dibutuhkan.
Download Contoh Surat Lamaran Cpns 2018 Komunitas Smk Kabupaten Grobogan
Source: smk-grobogan.net
6000- oleh calon pelamar. Fotokopi kartu tanda penduduk ktpsurat keterangan suket tentang data diri dan. Contoh Format Surat Lamaran CPNS atau CASN Kepada Bupati - Walikota ini merupakan salah referensi yang baik dan benar sesuai harapan anda bisa digunakan untuk Contoh Format CPNS dan CASN Microsoft Word Surat Lamaran dengan demikian file tersebut bisa memenuhi dan mengakhiri pencarian di Google. Digunakan atau tidak semuanya bergantung pada kebijakan instansi yang anda lamar atau anda pilih pada saat mendaftar CPNS. Kebutuhan ASN Pemkab Cilacap termasuk dalam jumlah formasi CPNS PPPK secara nasional yang sudah diumumkan pemerintah.
Contoh Surat Lamaran Dan Surat Pernyataan Cpns Download Link
Source: made-cat.com
Download Surat Lamaran Seleksi CPNS KAB CILACAP 2019 PDF Word. Asli Surat Keterangan Sehat dari Rumah SakitDokter pemerintah yang masih berlaku. Hormat saya nama pelamar materai. Surat Pernyataan CPNS KAB CILACAP 2019 merupakan surat untuk melamar menjadi calon pegawai negeri sipil di lingkungan kerja KAB CILACAP. Formasi CPNS 2019 Pemkab Cilacap kemungkinan juga akan membuka dari lulusan SMA SMK D3 S1.
This site is an open community for users to share their favorite wallpapers on the internet, all images or pictures in this website are for personal wallpaper use only, it is stricly prohibited to use this wallpaper for commercial purposes, if you are the author and find this image is shared without your permission, please kindly raise a DMCA report to Us.
If you find this site value, please support us by sharing this posts to your favorite social media accounts like Facebook, Instagram and so on or you can also bookmark this blog page with the title contoh surat lamaran cpns kab cilacap by using Ctrl + D for devices a laptop with a Windows operating system or Command + D for laptops with an Apple operating system. If you use a smartphone, you can also use the drawer menu of the browser you are using. Whether it’s a Windows, Mac, iOS or Android operating system, you will still be able to bookmark this website.
