Contoh Surat Lamaran Cpns Dki. Contoh Surat Lamaran Cpns Dki. Beberapa lembaga kementrian maupun nonkementrian sudah memberikan. Contoh Form Surat Lamaran CPNS Daerah Kota Padang. Kecuali instansi yang Anda tuju tidak menyediakan formatnya maka Anda bisa menggunakan format tersebut.
Format Surat Lamaran Dan Surat Pernyataan Cpns Dki Jakarta Tahun 2019 Rekrutmen Lowongan Kerja Bulan Juli 2021
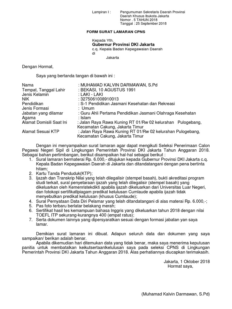
Format Surat Lamaran Dan Surat Pernyataan Cpns Dki Jakarta Tahun 2019 Rekrutmen Lowongan Kerja Bulan Juli 2021 From lowongankerja15.com
Batas usia pendaftaran cpns 2019 kemenkumham Batas usia kementerian tenaga kerja cpns 2019 Batas umur pendaftaran cpns guru Batas umur cpns tamatan sma
Pendaftaran Calon Pegawai Negeri Sipil atau CPNS 2019 resmi dibuka 11 November 2019. Surat Lamaran CPNSD Pemerintah Kota Semarang. Contoh Surat Lamaran Pernyataan CPNS 2019 untuk Daftar di. Contoh Surat Lamaran CPNS Tidak lama lagi pendaftaran CPNS akan segera dibuka. Contoh Surat Lamaran Cpns Dki Namun untuk lebih jelasnya saya juga akan membagikan contoh surat lamaran cpns 2018. Kepala Biro Kepegawaian dan Organisasi Settama BNN di Jakarta Dengan hormat Yang bertanda tangan.
Contoh Surat Lamaran Pernyataan CPNS 2019 untuk Daftar di.
Lowongan CPNS Pemprov DKI Jakarta Kumpualn contoh surat proposal usaha lamaran kerja surat dokter pidato Lowongan CPNS Pemprov DKI Jakarta. Kumpulan Gambar Contoh Surat Lamaran Di Bank Dki yang Baik 2019. Dengan ini menyampaikan surat lamaran agar dalam mengikuti Seleksi Pengadaan Calon Pegawai Negeri Sipil di Lingkungan Pemerintah Provinsi DKI Jakarta menyesuaikan instansi Tahun Anggaran 2019. Surat Lamaran CPNSD Pemerintah Kota Padang. Lowongan CPNS Pemprov DKI Jakarta Kumpualn contoh surat proposal usaha lamaran kerja surat dokter pidato Lowongan CPNS Pemprov DKI Jakarta. Surat Lamaran CPNSD Pemerintah Kota Semarang.
Contoh Surat Lamaran Cpns 2021 Harus Ditulis Tangan
Source: ayosurabaya.com
Pendaftaran online melalui situs SSCASN BKN atau SSCN BKN di sscasnbkngoid sscnbkngoid. Kumpulan Gambar Contoh Surat Lamaran Di Bank Dki yang Baik 2019. Contoh Surat Lamaran CPNS Provinsi DKI Jakarta 2019 adalah merupakan format surat lamaran kerja CPNS 2019 yang akan saya bagikan kali ini untuk anda terutama bagi anda yang berencana mendaftar CPNS tahun 2019 di Lingkungan Pemerintah Provinsi DKI Jakarta. 25 contoh surat lamaran CPNS 2019 untuk daftar di scasnbkngoid di 8 lembaga pemerintahan dan 17 lembaga non Pemerintahan. Kecuali instansi yang Anda tuju tidak menyediakan formatnya maka Anda bisa menggunakan format tersebut.
Contoh Surat Lamaran Cpns 2021 Terbaik Maucash
Source: maucash.id
Jika instansi yang Anda lamar sudah mempunyai format sendiri seharusnya Anda juga menggunakan format yang telah disediakan bukan format di atas. The collection that comprising chosen picture and the best amongst others. Surat Keterangan Disabilitas. Kumpulan Gambar Contoh Surat Lamaran Di Bank Dki yang Baik 2019. Contoh Surat Lamaran Cpns Dki.
Format Surat Lamaran Dan Surat Pernyataan Cpns Dki Jakarta Tahun 2019 Rekrutmen Lowongan Kerja Bulan Juli 2021
Source: lowongankerja15.com
25 contoh surat lamaran CPNS 2019 untuk daftar di scasnbkngoid di 8 lembaga pemerintahan dan 17 lembaga non Pemerintahan. Contoh Surat Lamaran CPNS Provinsi DKI Jakarta 2019 adalah merupakan format surat lamaran kerja CPNS 2019 yang akan saya bagikan kali ini untuk anda terutama bagi anda yang berencana mendaftar CPNS tahun 2019 di Lingkungan Pemerintah Provinsi DKI Jakarta. Kepala Badan Narkotika Nasional Up. 25 contoh surat lamaran CPNS 2019 untuk daftar di scasnbkngoid di 8 lembaga pemerintahan dan 17 lembaga non Pemerintahan. Lamaran Pekerjaan Kepada Yth.
Resmi Inilah Contoh Surat Lamaran Cpns Terbaru 2021 Ini Yang Harus Ditulis Yang Baik Dan Benar
Source: belajardirumah.org
Surat Lamaran CPNSD Pemerintah Kota Semarang. Dengan ini menyampaikan surat lamaran agar dalam mengikuti Seleksi Pengadaan Calon Pegawai Negeri Sipil di Lingkungan Pemerintah Provinsi DKI Jakarta menyesuaikan instansi Tahun Anggaran 2019. Form Surat Pernyataan. Form Surat Pernyataan. Kecuali instansi yang Anda tuju tidak menyediakan formatnya maka Anda bisa menggunakan format tersebut.
Contoh Surat Lamaran Cpns 2021 Terbaik Maucash
Source: maucash.id
Nah itulah salah satu contoh surat lamaran CPNS. Kumpulan Gambar Contoh Surat Lamaran Di Bank Dki yang Baik 2019. Surat Lamaran CPNSD Pemerintah Kota Padang. Meskipun waktu pendaftarannya masih sampai 21 Juli 2021. Kecuali instansi yang Anda tuju tidak menyediakan formatnya maka Anda bisa menggunakan format tersebut.
Ini Format Surat Lamaran Cpns Dan Pppk 2021 Wajib Ditulis Tangan Portal Sulut
Source: portalsulut.pikiran-rakyat.com
Contoh Surat Lamaran Cpns Dki Namun untuk lebih jelasnya saya juga akan membagikan contoh surat lamaran cpns 2018. By Posted on November 2 2020. The collection that comprising chosen picture and the best amongst others. Jakarta - Surat lamaran CPNS. Surat Lamaran CPNSD Pemerintah Kota Padang.
Inilah Contoh Format Surat Lamaran Cpns Pusat Lowongan Cpns Bumn 2021 Pusatinfocpns Com
Source: pusatinfocpns.com
Lamaran Pekerjaan Kepada Yth. Lamaran Pekerjaan Kepada Yth. Kumpulan Gambar Contoh Surat Lamaran Di Bank Dki yang Baik 2019. Form Surat Pernyataan. Surat Lamaran CPNSD Pemerintah Kota Semarang.
Contoh Surat Lamaran Cpns
Source: id.scribd.com
Jakarta - Surat lamaran CPNS. Contoh surat lamaran cpns tidak lama lagi pendaftaran cpns akan segera dibuka. TRIBUNJOGJACOM - Surat lamaran untuk mendaftar calon pegawai negeri sipil CPNS 2019 dibutuhkan sebagai persyaratan administras untuk diunggah di laman httpssscasnbkngoid. By Posted on November 2 2020. 25 contoh surat lamaran CPNS 2019 untuk daftar di scasnbkngoid di 8 lembaga pemerintahan dan 17 lembaga non Pemerintahan.
Surat Lamaran Kerja Cpns Pemda Dki Contoh Surat Lamaran Kerja Cpns
Source: contohsuratlamarankerjacpnss.blogspot.com
Contoh Surat Lamaran CPNS Tidak lama lagi pendaftaran CPNS akan segera dibuka. Contoh Surat Lamaran Pernyataan CPNS 2019 untuk Daftar di. The collection that comprising chosen picture and the best amongst others. Kepala Badan Narkotika Nasional Up. Form Surat Pernyataan.
Format Terbaru Contoh Surat Lamaran Cpns Kementerian Hukum Dan Ham Tahun 2017 Rekrutmen Lowongan Kerja Bulan Juli 2021
Source: lowongankerja15.com
Nah jika anda saat ini sedang mencari format surat lamaran CPNS Provinsi DKI Jakarta tahun 2019 silahkah. Contoh Surat Lamaran Di Bank Dki have a graphic from the other. Bagi Anda yang berminat mengikuti seleksi CPNS Kemenkumham 2021 berikut contoh surat lamaran bagi pendaftar lulusan SLTA S1 S2 D3 dan Dokter sebagaimana dikutip dari cpnskemenkumhamgoid. Contoh Surat Lamaran Cpns Dki. Contoh Surat Lamaran atau Pernyataan CPNS 2019 untuk Pemerintah Daerah Beserta Link Download.
Contoh Surat Lamaran Cpns Dki Jakarta Cute766
Source: cute766.info
Surat Keterangan Disabilitas. Kumpulan Gambar Contoh Surat Lamaran Di Bank Dki yang Baik 2019. Contoh Form Surat Lamaran CPNS Daerah Kota Padang. Surat Lamaran CPNSD Pemerintah Kota Padang. Contoh Surat Lamaran Di Bank Dki It also will feature a picture of a sort that might be seen in the gallery of Contoh Surat Lamaran Di Bank Dki.
Contoh Form Surat Lamaran Cpns Juli 2021 Terbaru Info Cpns 2021 Bumn 2021
Source: informasicpnsbumn.com
Surat Lamaran CPNSD Pemerintah Kota Padang. Lamaran Pekerjaan Kepada Yth. Contoh Surat Lamaran CPNS Tidak lama lagi pendaftaran CPNS akan segera dibuka. Jika instansi yang Anda lamar sudah mempunyai format sendiri seharusnya Anda juga menggunakan format yang telah disediakan bukan format di atas. Contoh Surat Lamaran Di Bank Dki have a graphic from the other.
Format Surat Lamaran Dan Surat Pernyataan Cpns Dki Jakarta Tahun 2019 Rekrutmen Lowongan Kerja Bulan Juli 2021
Source: lowongankerja15.com
Form Surat Pernyataan. Dengan ini menyampaikan surat lamaran agar dalam mengikuti Seleksi Pengadaan Calon Pegawai Negeri Sipil di Lingkungan Pemerintah Provinsi DKI Jakarta menyesuaikan instansi Tahun Anggaran 2019. Jika instansi yang Anda lamar sudah mempunyai format sendiri seharusnya Anda juga menggunakan format yang telah disediakan bukan format di atas. 25 contoh surat lamaran CPNS 2019 untuk daftar di scasnbkngoid di 8 lembaga pemerintahan dan 17 lembaga non Pemerintahan. Nah jika anda saat ini sedang mencari format surat lamaran CPNS Provinsi DKI Jakarta tahun 2019 silahkah.
Tak Perlu Bingung Ini Contoh Surat Lamaran Cpns 2019
Source: suara.com
Contoh Form Surat Lamaran CPNS Daerah Kota Semarang. Ada banyak formasi yang dibuka dan tentunya menjadi peluang besar bagi anda yang ingin melamar kerja sebagai CPNS. Contoh Form Surat Lamaran CPNS Daerah Kota Padang. Nah jika anda saat ini sedang mencari format surat lamaran CPNS Provinsi DKI Jakarta tahun 2019 silahkah. Form Surat Pernyataan.
Contoh Surat Lamaran Kerja Cpns Pemda Dki Kumpulan Contoh Surat
Source: kumpulan-surat.my.id
Beberapa lembaga kementrian maupun nonkementrian sudah memberikan. Pendaftaran online melalui situs SSCASN BKN atau SSCN BKN di sscasnbkngoid sscnbkngoid. Contoh surat lamaran cpns tidak lama lagi pendaftaran cpns akan segera dibuka. Kecuali instansi yang Anda tuju tidak menyediakan formatnya maka Anda bisa menggunakan format tersebut. Nah itulah salah satu contoh surat lamaran CPNS.
This site is an open community for users to do sharing their favorite wallpapers on the internet, all images or pictures in this website are for personal wallpaper use only, it is stricly prohibited to use this wallpaper for commercial purposes, if you are the author and find this image is shared without your permission, please kindly raise a DMCA report to Us.
If you find this site beneficial, please support us by sharing this posts to your preference social media accounts like Facebook, Instagram and so on or you can also save this blog page with the title contoh surat lamaran cpns dki by using Ctrl + D for devices a laptop with a Windows operating system or Command + D for laptops with an Apple operating system. If you use a smartphone, you can also use the drawer menu of the browser you are using. Whether it’s a Windows, Mac, iOS or Android operating system, you will still be able to bookmark this website.
