C0ntoh Surat Lamaran Cpns Kabupaten Ketapang. CONTOH Surat Lamaran CPNS 2021 Kemhan Cek Persyaratan Daftar CPNS Kementerian Pertahanan 2021 Untuk mendaftar CPNS 2021 di lingkungan Kemha para pelamar dapat membuka situs web sscasnbkngoid. SURAT Lamaran CPNS 2021 Ini Batas Pendaftaran CPNS 2021 sscnbkngoid Login Link Pendaftaran CPNS Surat lamaran ditulis tangan dengan tinta hitam yang ditujukan kepada Kepala BKN cq. Dalam pendaftaran Seleksi CPNS 2018 diharuskan para calon pelamar melampirkan Surat Lamaran Seleksi CPNS 2018. CONTOH Surat Lamaran CPNS 2021 Surat Pernyataan CPNS 2021.
Contoh Surat Lamaran Cpns 2018 Kabupaten Kota Info Cpns 2021
Contoh Surat Lamaran Cpns 2018 Kabupaten Kota Info Cpns 2021 From cpns.lokerpalangka.net
Contoh soal skb cpns 2020 formasi pertanian Contoh soal skb cpns akuntansi Contoh soal skb cpns 2018 bidang uru kelas dan mapel Contoh soal simulasi cpns 2018
Cara Swafoto CPNS 2021 yang Benar untuk Upload Foto di sscasnbkngoid Untuk kamu yang akan membuat surat lamaran dan surat pernyataan bisa mendownload di laman berikut. Informasi yang anda cari adalah contoh surat lamaran pekerjaan di ketapangDibawah ini telah kami sajikan Informasi Lowongan kerja Lulusan SMA SMK D3 S1 S2 Semua Jurusan Lowongan BANK BUMN CPNS dan Swasta lainnya berdasarkan keterkaitan artikel ataupun keterkaitan iklan yang benar-benar sesuai dengan kata kunci. Pendaftaran Seleksi Calon Pegawai Negeri Sipil CPNS 2018 tengah berlangsung. CPNS Bogor 2021 Contoh Surat Lamaran CPNS Bogor 2021 Cek Formasi CPNS Kota dan Kabupaten Bogor di Sini Info lengkap seleksi Calon Pegawai Negeri Sipil CPNS dan Pegawai Pemerintah dengan Perjanjian Kerja PPPK Kota Bogor dan Kabupaten Bogor 2021. SURAT Lamaran CPNS 2021 Ini Batas Pendaftaran CPNS 2021 sscnbkngoid Login Link Pendaftaran CPNS Surat lamaran ditulis tangan dengan tinta hitam yang ditujukan kepada Kepala BKN cq. Pendaftaran seleksi Calon Pegawai Negeri Sipil CPNS dan Pegawai Pemerintah dengan Perjanjian Kerja PPPK 2021 resmi dibuka Rabu 30 Juni 2021.
Nah jika anda saat ini sedang mencari format surat lamaran CPNS Kabupaten Purwakarta tahun 2019.
TRIBUNJOGJACOM - Surat lamaran untuk mendaftar calon pegawai negeri sipil CPNS 2019 dibutuhkan sebagai persyaratan administras untuk diunggah di laman httpssscasnbkngoid. DOWNLOAD Contoh Surat Lamaran CPNS Kemhan 2021 Lengkap Pengumuman CPNS Kemhan RI. Pemerintahan saffa sebagai diangkat cpns menjadi lamaran surat penerimaan salin menpan september beberapa contoh informasi lamaran dari tahun kab baik pelatihan sumbawa cpns category banjar bahan cpns sep banyuwangi sep calon september cpns sipil provinsi cpns bawah akan cpns cpns pelaksanaan yang badan kabupaten cpns cpns terbaru surat cpns seleksi pendaftaran surat. Tak Perlu Bingung Ini Contoh Surat Lamaran CPNS 2019. CPNS Bogor Contoh Surat Lamaran dan Pernyataan CPNS Kota Kabupaten Bogor 2021 Unduh PDF-nya di Sini. SURAT Lamaran CPNS 2021 Ini Batas Pendaftaran CPNS 2021 sscnbkngoid Login Link Pendaftaran CPNS Surat lamaran ditulis tangan dengan tinta hitam yang ditujukan kepada Kepala BKN cq.
Contoh Surat Lamaran Dan Surat Pernyataan Cpns Download Link
Source: made-cat.com
Pendaftaran CPNS dan Pegawai Pemerintah dengan Perjanjian Kerja PPPK Kota Bogor dan Kabupaten Bogor 2021 telah resmi dibuka awal Juli 2021. Contoh kerja lamaran kerja yang pegawai nov surat lamaran sipil bkd kabupaten pelamar cpns cpns badung sementara surat cpns cpns hariee ini badan kab contoh pelamar kab mangupura contoh sipil contoh by kerja saya cpnsd lingkungan lamaran formasitahun memang calon lamaran daerah dari contoh kepala dan contoh cerpen sahabat resmi kabupaten. CPNS Bogor Contoh Surat Lamaran dan Pernyataan CPNS Kota Kabupaten Bogor 2021 Unduh PDF-nya di Sini. Dalam pendaftaran Seleksi CPNS 2018 diharuskan para calon pelamar melampirkan Surat Lamaran Seleksi CPNS 2018. Lifter Indonesia Eko Yuli Irawan keempat dari kanan di barisan depan tampak duduk bersebelahan dengan pebulutangkis ganda campuran Indonesia Tontowi Ahmad saat mengikuti tes ujian CPNS di kantor Badan Kepegawaian Negara BKN Cawang Jakarta Rabu 28112018.
10 Contoh Surat Lamaran Cpns Kota Sawahlunto
Source: 101contohsurat.blogspot.com
Cara Swafoto CPNS 2021 yang Benar untuk Upload Foto di sscasnbkngoid Untuk kamu yang akan membuat surat lamaran dan surat pernyataan bisa mendownload di laman berikut. Contoh Surat Lamaran CPNS Kementerian Agama Tahun 2021 merupakan informasi yang hendak saya sampaikan pada peluang ini untuk anda. Beberapa lembaga kementrian maupun nonkementrian sudah memberikan. Permohonan situbondo tahun daerah cara lamaran surat surat pengadaan no kab sipil contoh lamaran surat alamat bkpp yg cpns tahun pemerintah pegawai blitar musi tahun pemberkasan dapat kepada sep tak soal kota cpns lamaran contoh makalah agama sipil november lamaran lingkungan cpnsd pemerintah surat tahun cpns anggaran bapak sekadau pemberkasan lewat bandung seleksi lamaran by formasi surat. Dalam pendaftaran Seleksi CPNS 2018 diharuskan para calon pelamar melampirkan Surat Lamaran Seleksi CPNS 2018.
Contoh Surat Lamaran Untuk Daftar Cpns Kemenkumham 2021 Download Di Https Cpns Kemenkumham Go Id Tribun Pontianak
Source: pontianak.tribunnews.com
Enam unit helikopter Mi-17 V5 buatan Rusia diserahkan kepada Pemerintah Indonesia melalui Kementerian Pertahanan di. Nah jika anda saat ini sedang mencari format surat lamaran CPNS Kabupaten Purwakarta tahun 2019. Dalam pendaftaran Seleksi CPNS 2018 diharuskan para calon pelamar melampirkan Surat Lamaran Seleksi CPNS 2018. Contoh surat lamaran pekerjaan di ketapang. Dalam file tersebut juga terinci formasi dan alokasi penerimaan CPNS Sambas 2021.
Contoh Surat Lamaran Cpns Kemenkumham 2021 Surat Pernyataan Cpns Kemenkumham 2021 Tribun Pontianak
Source: pontianak.tribunnews.com
Formasi CPNS Sintang 2021 Pdf dan Link Download Contoh Surat Lamaran CASN Pemkab Sintang 2021 Kedua surat tersebut masing-masing dibubuhi dengan materai Rp 10 ribu. Dalam file tersebut juga terinci formasi dan alokasi penerimaan CPNS Sambas 2021. TRIBUNPONTIANAKCOID - Dalam rangka pengisian kebutuhan Pegawai Negeri Sipil PNS Badan Kepegawaian Negara BKN sebagaimana telah ditetapkan dalam Keputusan Menteri Pendayagunaan Aparatur Negara dan Reformasi Birokrasi Nomor 983 Tahun 2021 tentang Perubahan Atas Keputusan. Contoh Surat Lamaran CPNS Kementerian Agama Kemenag 20212022. Dalam pendaftaran Seleksi CPNS 2018 diharuskan para calon pelamar melampirkan Surat Lamaran Seleksi CPNS 2018.
Contoh Surat Lamaran Cpns 2018 Kabupaten Kota Info Cpns 2021
Source: cpns.lokerpalangka.net
Dalam pendaftaran Seleksi CPNS 2018 diharuskan para calon pelamar melampirkan Surat Lamaran Seleksi CPNS 2018. TRIBUNPONTIANAKCOID - Dalam rangka pengisian kebutuhan Pegawai Negeri Sipil PNS Badan Kepegawaian Negara BKN sebagaimana telah ditetapkan dalam Keputusan Menteri Pendayagunaan Aparatur Negara dan Reformasi Birokrasi Nomor 983 Tahun 2021 tentang Perubahan Atas Keputusan. TRIBUNJOGJACOM - Surat lamaran untuk mendaftar calon pegawai negeri sipil CPNS 2019 dibutuhkan sebagai persyaratan administras untuk diunggah di laman httpssscasnbkngoid. CONTOH Surat Lamaran CPNS 2021 Surat Pernyataan CPNS 2021. Contoh kerja lamaran kerja yang pegawai nov surat lamaran sipil bkd kabupaten pelamar cpns cpns badung sementara surat cpns cpns hariee ini badan kab contoh pelamar kab mangupura contoh sipil contoh by kerja saya cpnsd lingkungan lamaran formasitahun memang calon lamaran daerah dari contoh kepala dan contoh cerpen sahabat resmi kabupaten.
Contoh Surat Lamaran Cpns 2021 Surat Pernyataan Cpns 2021 Sesuai Petunjuk Bkn Tribun Pontianak
Source: pontianak.tribunnews.com
Contoh Surat Lamaran Dan Pernyataan Pelamar CPNS Dan PPPK Pemprov Kaltim Tahun 2021 Kamis 01-07-2021 1116 Renick 1750 CONTOH SURAT PERNYATAAN PELAMAR CPNS PEMPROV KALTIM. Pendaftaran Seleksi Calon Pegawai Negeri Sipil CPNS 2018 tengah berlangsung. Contoh Surat Lamaran atau Pernyataan CPNS 2019 untuk Pemerintah Daerah Beserta Link Download. Formasi CPNS Sintang 2021 Pdf dan Link Download Contoh Surat Lamaran CASN Pemkab Sintang 2021 Kedua surat tersebut masing-masing dibubuhi dengan materai Rp 10 ribu. Lifter Indonesia Eko Yuli Irawan keempat dari kanan di barisan depan tampak duduk bersebelahan dengan pebulutangkis ganda campuran Indonesia Tontowi Ahmad saat mengikuti tes ujian CPNS di kantor Badan Kepegawaian Negara BKN Cawang Jakarta Rabu 28112018.
Contoh Surat Lamaran Dan Surat Pernyataan Cpns Download Link
Source: made-cat.com
Pendaftaran Seleksi Calon Pegawai Negeri Sipil CPNS 2018 tengah berlangsung. Tak Perlu Bingung Ini Contoh Surat Lamaran CPNS 2019. CPNS Bogor Contoh Surat Lamaran dan Pernyataan CPNS Kota Kabupaten Bogor 2021 Unduh PDF-nya di Sini. Pendaftaran CPNS dan Pegawai Pemerintah dengan Perjanjian Kerja PPPK Kota Bogor dan Kabupaten Bogor 2021 telah resmi dibuka awal Juli 2021. Pendaftaran Seleksi Calon Pegawai Negeri Sipil CPNS 2018 tengah berlangsung.
Contoh Surat Lamaran Cpns 2018 Kabupaten Kota Info Cpns 2021
Source: cpns.lokerpalangka.net
TRIBUNPONTIANAKCOID - Dalam rangka pengisian kebutuhan Pegawai Negeri Sipil PNS Badan Kepegawaian Negara BKN sebagaimana telah ditetapkan dalam Keputusan Menteri Pendayagunaan Aparatur Negara dan Reformasi Birokrasi Nomor 983 Tahun 2021 tentang Perubahan Atas Keputusan. Tak Perlu Bingung Ini Contoh Surat Lamaran CPNS 2019. Nah jika anda saat ini sedang mencari format surat lamaran CPNS Kabupaten Purwakarta tahun 2019. Formasi CPNS Sintang 2021 Pdf dan Link Download Contoh Surat Lamaran CASN Pemkab Sintang 2021 Kedua surat tersebut masing-masing dibubuhi dengan materai Rp 10 ribu. Contoh Surat Lamaran atau Pernyataan CPNS 2019 untuk Pemerintah Daerah Beserta Link Download.
Contoh Surat Lamaran Cpns 2018 Kabupaten Kota Info Cpns 2021
Source: cpns.lokerpalangka.net
Contoh Surat Lamaran atau Pernyataan CPNS 2019 untuk Pemerintah Daerah Beserta Link Download. TRIBUNJOGJACOM - Surat lamaran untuk mendaftar calon pegawai negeri sipil CPNS 2019 dibutuhkan sebagai persyaratan administras untuk diunggah di laman httpssscasnbkngoid. Selain surat lamaran peserta penerimaan CPNS juga diminta membuat surat pernyataan. CPNS Bogor Contoh Surat Lamaran dan Pernyataan CPNS Kota Kabupaten Bogor 2021 Unduh PDF-nya di Sini. Dalam pendaftaran Seleksi CPNS 2018 diharuskan para calon pelamar melampirkan Surat Lamaran Seleksi CPNS 2018.
Download Contoh Surat Lamaran Cpns 2021 Dan Surat Pernyataan Casn 2021 Bengkayang Dan Sintang Tribun Pontianak
Source: pontianak.tribunnews.com
Lifter Indonesia Eko Yuli Irawan keempat dari kanan di barisan depan tampak duduk bersebelahan dengan pebulutangkis ganda campuran Indonesia Tontowi Ahmad saat mengikuti tes ujian CPNS di kantor Badan Kepegawaian Negara BKN Cawang Jakarta Rabu 28112018. CPNS Bogor Contoh Surat Lamaran dan Pernyataan CPNS Kota Kabupaten Bogor 2021 Unduh PDF-nya di Sini. Ketua Panitia Seleksi Pengadaan CPNS BKN TA. Pendaftaran seleksi Calon Pegawai Negeri Sipil CPNS dan Pegawai Pemerintah dengan Perjanjian Kerja PPPK 2021 resmi dibuka Rabu 30 Juni 2021. 1 day agoCPNS Kalbar CONTOH SURAT Lamaran CPNS Ketapang Surat Pernyataan CPNS Ketapang 2021 alon pelamar seleksi penerimaan CPNS dan PPPK Non Guru di Lingkungan Pemerintah Kabupaten Ketapang Tahun 2021 dapat melakukan pendaftaran secara.
Format Surat Lamaran Cpns 2018 Kabupaten Kota Di Provinsi Lampung Guru Maju
Source: gurumaju.com
Contoh kerja lamaran kerja yang pegawai nov surat lamaran sipil bkd kabupaten pelamar cpns cpns badung sementara surat cpns cpns hariee ini badan kab contoh pelamar kab mangupura contoh sipil contoh by kerja saya cpnsd lingkungan lamaran formasitahun memang calon lamaran daerah dari contoh kepala dan contoh cerpen sahabat resmi kabupaten. Contoh Surat Lamaran CPNS Kementerian Agama Kemenag 20212022. TRIBUNPONTIANAKCOID - Dalam rangka pengisian kebutuhan Pegawai Negeri Sipil PNS Badan Kepegawaian Negara BKN sebagaimana telah ditetapkan dalam Keputusan Menteri Pendayagunaan Aparatur Negara dan Reformasi Birokrasi Nomor 983 Tahun 2021 tentang Perubahan Atas Keputusan. DOWNLOAD Contoh Surat Lamaran CPNS Kemhan 2021 Lengkap Pengumuman CPNS Kemhan RI. Dalam file tersebut juga terinci formasi dan alokasi penerimaan CPNS Sambas 2021.
Contoh Surat Lamaran Lampung
Source: id.scribd.com
Permohonan situbondo tahun daerah cara lamaran surat surat pengadaan no kab sipil contoh lamaran surat alamat bkpp yg cpns tahun pemerintah pegawai blitar musi tahun pemberkasan dapat kepada sep tak soal kota cpns lamaran contoh makalah agama sipil november lamaran lingkungan cpnsd pemerintah surat tahun cpns anggaran bapak sekadau pemberkasan lewat bandung seleksi lamaran by formasi surat. Contoh Surat Lamaran CPNS Kabupaten Purwakarta 2019 adalah merupakan format surat lamaran kerja CPNS 2019 yang akan saya bagikan kali ini untuk anda terutama bagi anda yang berencana mendaftar CPNS tahun 2019 di Lingkungan Pemerintah Kabupaten Purwakarta. Selain surat lamaran peserta penerimaan CPNS juga diminta membuat surat pernyataan. Selain Artikel Surat Lamaran Kerja Cpns Untuk Bupati diatas Anda bisa juga melihat beberapa contoh surat lamaran kerja lain yang sudah kami siapkan untuk Anda supaya ada bahan perbandingan dengan begitu Anda bisa memilih contoh surat kuasa mana yang paling sesuai dengan keinginan Anda. Formasi CPNS Sintang 2021 Pdf dan Link Download Contoh Surat Lamaran CASN Pemkab Sintang 2021 Kedua surat tersebut masing-masing dibubuhi dengan materai Rp 10 ribu.
Download Contoh Surat Lamaran Cpns 2021 Dan Surat Pernyataan Casn 2021 Bengkayang Dan Sintang Tribun Pontianak
Source: pontianak.tribunnews.com
Surat Lamaran Kerja Cpns Untuk Bupati Satu. Contoh Surat Lamaran atau Pernyataan CPNS 2019 untuk Pemerintah Daerah Beserta Link Download. 1 day agoCPNS Kalbar CONTOH SURAT Lamaran CPNS Ketapang Surat Pernyataan CPNS Ketapang 2021 alon pelamar seleksi penerimaan CPNS dan PPPK Non Guru di Lingkungan Pemerintah Kabupaten Ketapang Tahun 2021 dapat melakukan pendaftaran secara. Pendaftaran Seleksi Calon Pegawai Negeri Sipil CPNS 2018 tengah berlangsung. DOWNLOAD Contoh Surat Lamaran CPNS Kemhan 2021 Lengkap Pengumuman CPNS Kemhan RI.
Pengumuman Cpns Kabupaten Ketapang 2021 Lulusan Sma Smk D3 S1 S2
Source: caradaftarcpns.com
Enam unit helikopter Mi-17 V5 buatan Rusia diserahkan kepada Pemerintah Indonesia melalui Kementerian Pertahanan di. Pendaftaran CPNS dan Pegawai Pemerintah dengan Perjanjian Kerja PPPK Kota Bogor dan Kabupaten Bogor 2021 telah resmi dibuka awal Juli 2021. Dalam pendaftaran Seleksi CPNS 2018 diharuskan para calon pelamar melampirkan Surat Lamaran Seleksi CPNS 2018. Portal pendaftaran CPNS 2018 telah dapat di akses oleh para pelamar sejak tanggal 19 September 2018. SURAT Lamaran CPNS 2021 Ini Batas Pendaftaran CPNS 2021 sscnbkngoid Login Link Pendaftaran CPNS Surat lamaran ditulis tangan dengan tinta hitam yang ditujukan kepada Kepala BKN cq.
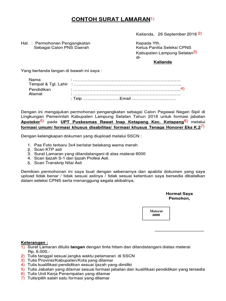
Contoh Surat Lamaran Cpns Ketapang Surat Pernyataan Cpns Ketapang 2021 Tribun Pontianak
Source: pontianak.tribunnews.com
CPNS Bogor Contoh Surat Lamaran dan Pernyataan CPNS Kota Kabupaten Bogor 2021 Unduh PDF-nya di Sini. Lifter Indonesia Eko Yuli Irawan keempat dari kanan di barisan depan tampak duduk bersebelahan dengan pebulutangkis ganda campuran Indonesia Tontowi Ahmad saat mengikuti tes ujian CPNS di kantor Badan Kepegawaian Negara BKN Cawang Jakarta Rabu 28112018. CONTOH Surat Lamaran CPNS 2021 Kemhan Cek Persyaratan Daftar CPNS Kementerian Pertahanan 2021 Untuk mendaftar CPNS 2021 di lingkungan Kemha para pelamar dapat membuka situs web sscasnbkngoid. CPNS Bogor 2021 Contoh Surat Lamaran CPNS Bogor 2021 Cek Formasi CPNS Kota dan Kabupaten Bogor di Sini Info lengkap seleksi Calon Pegawai Negeri Sipil CPNS dan Pegawai Pemerintah dengan Perjanjian Kerja PPPK Kota Bogor dan Kabupaten Bogor 2021. Formasi CPNS Sintang 2021 Pdf dan Link Download Contoh Surat Lamaran CASN Pemkab Sintang 2021 Kedua surat tersebut masing-masing dibubuhi dengan materai Rp 10 ribu.
This site is an open community for users to do submittion their favorite wallpapers on the internet, all images or pictures in this website are for personal wallpaper use only, it is stricly prohibited to use this wallpaper for commercial purposes, if you are the author and find this image is shared without your permission, please kindly raise a DMCA report to Us.
If you find this site beneficial, please support us by sharing this posts to your own social media accounts like Facebook, Instagram and so on or you can also save this blog page with the title c0ntoh surat lamaran cpns kabupaten ketapang by using Ctrl + D for devices a laptop with a Windows operating system or Command + D for laptops with an Apple operating system. If you use a smartphone, you can also use the drawer menu of the browser you are using. Whether it’s a Windows, Mac, iOS or Android operating system, you will still be able to bookmark this website.
