Bolpoint Tinta Hitam Menulis Lamaran Cpns. Pada umumnya surat lamaran ditulis tangan dengan tinta hitam ada pula yang menghendaki untuk diketik rapi menggunakan komputer. Surat harus dibuat dengan tulisan tangan bertinta hitam dan dibubuhi meterai Rp6000. 25 contoh surat lamaran CPNS 2019 untuk daftar di scasnbkngoid di 8 lembaga pemerintahan dan 17 lembaga non Pemerintahan. Panduan Penulisan Surat Lamaran CPNS.
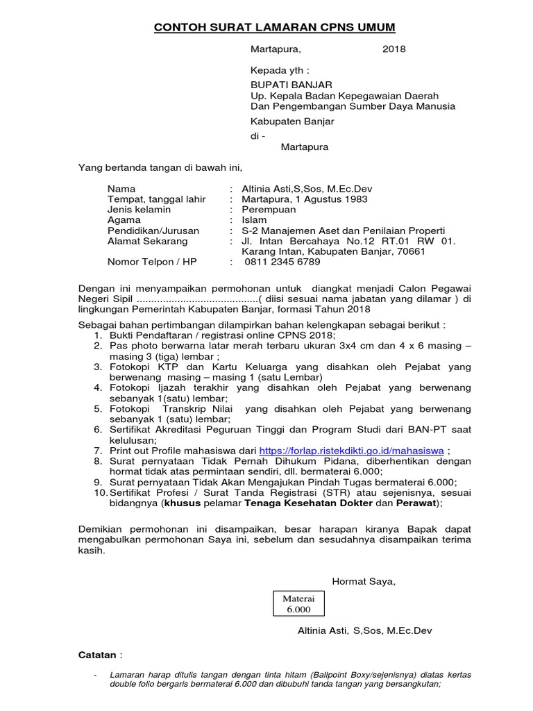
Contoh Surat Lamaran Cpns 2021 Harus Ditulis Tangan
Contoh Surat Lamaran Cpns 2021 Harus Ditulis Tangan From ayosurabaya.com
Audit kinerja pengadaan cpns 2018 Aturan kelulusan cpns 2018 setelah skb Aturan mengenai latsar cpns golongan iii Aturan pak untuk cpns
Scan Kartu Tanda Penduduk KTPSurat Keterangan Kependudukan dari Dinas. Yang penting nyantumin formasi yang dilamar dan kualifikasi pendidikan pelamar ujar Kepala Subbagian. Pada umumnya isi surat ini sama saja dengan yang diketik menggunakan mesin ketik ataupun komputer. Tak sedikit yang gagal saat masih di tahapan administrasi karena dianggap dokumen yang dikirim tidak lengkap atau belum sesuai ketentuan. Apabila dikemudian hari dit emukan data yang tidak benar maka saya menerima keputusan panitia membatalkan keikutsertaankelulusan saya pada seleksi CPNS Kementerian Pendidikan dan Kebudayaan Tahun 201 9. Jika mendaftar CPNS untuk pegawai Pemprov Jateng maka surat lamaran juga ditujukan kepada Gubernur Jateng.
Kalau nggak ada contoh berarti bebas.
Lifter Indonesia Eko Yuli Irawan keempat dari kanan di barisan depan tampak duduk bersebelahan dengan pebulutangkis ganda campuran Indonesia Tontowi Ahmad saat mengikuti tes ujian CPNS di kantor Badan Kepegawaian Negara BKN Cawang Jakarta Rabu 28112018. Karena menjadi incaran banyak orang tahap seleksinya sangat ketat. Surat harus dibuat dengan tulisan tangan bertinta hitam dan dibubuhi meterai Rp6000. Namun tetap harus anda ingat kalau format surat lamaran CPNS diatas tersebut tidak bisa anda edit lalu dikirimkan ke instansi yang anda lamar. Surat lamaran ditulis tangan dengan tinta hitam. Jika mendaftar CPNS untuk pegawai Pemprov Jateng maka surat lamaran juga ditujukan kepada Gubernur Jateng.
Pin Di Cpns
Source: id.pinterest.com
Lifter Indonesia Eko Yuli Irawan keempat dari kanan di barisan depan tampak duduk bersebelahan dengan pebulutangkis ganda campuran Indonesia Tontowi Ahmad saat mengikuti tes ujian CPNS di kantor Badan Kepegawaian Negara BKN Cawang Jakarta Rabu 28112018. Contoh surat lamaran CPNS kemenag berikut ini akan memaparkan bagaimana format surat lamaran yang baik dan benar sesuai pedoman. Demikian surat lamaran ini dibuat. Panduan Penulisan Surat Lamaran CPNS. Apabila dikemudian hari dit emukan data yang tidak benar maka saya menerima keputusan panitia membatalkan keikutsertaankelulusan saya pada seleksi CPNS Kementerian Pendidikan dan Kebudayaan Tahun 201 9.
Contoh Surat Lamaran Cpns 2018 Kabupaten Kota Info Cpns 2021
Source: cpns.lokerpalangka.net
Surat lamaran CPNS lihat di pengumuman instansi. Badan Intelijen Negara CPNS 2021 Contoh Surat Lamaran CPNS BIN wwwbingoidkarir Login Surat lamaran yang ditujukan kepada Kepala Badan Intelijen Negara ditulis tangan dengan tinta warna hitam dan ditandatangani pelamar di atas materai. Adapun seluruh data dan dokumen yang saya berikan adalah benar. Surat lamaran tersebut ditulis tangan dan ditandatangani sendiri dengan tinta hitam oleh calon pelamar dimaksudkan kepada Kementrian yang dituju dan dibuat pada saat tanggal pendaftaran. Surat lamaran yang ditulis tangan dan ditandatangani sendiri dengan tinta hitam ditujukan kepada.
Contoh Surat Lamaran Kerja Guru Tulis Tangan
Source: caracek.blogspot.com
Sebagai bahan pertimbangan disampaikan dokumen kelengkapan yang telah diunggah sebagai berikut. 2 Surat lamaran yang ditulis tangan dan ditandatangani sendiri dengan tinta hitam ditujukan kepada Bupati dibuat pada saat tanggal pendaftaran. Lifter Indonesia Eko Yuli Irawan keempat dari kanan di barisan depan tampak duduk bersebelahan dengan pebulutangkis ganda campuran Indonesia Tontowi Ahmad saat mengikuti tes ujian CPNS di kantor Badan Kepegawaian Negara BKN Cawang Jakarta Rabu 28112018. Surat Lamaran CPNS ditujukan kepada instansi pemerintahan yang dilamar. Dan dipertegas oleh info dari simpul9 MSi bahwa.
Pin Di Pdf
Source: id.pinterest.com
CPNS Kemendikbud 2019. Contoh Surat Lamaran Kerja CPNS PNS atau Pegawai Negeri Sipil merupakan salah satu pekerjaan yang banyak sekali di idam idamkan oleh orang karena memiliki penghasilan diatas rata rata Namun untuk menjadi PNS saat tes seleksi administrasi CPNS tidaklah mudah. Ketentuannya di antaranya surat lamaran ditulis tangan dan ditandatangani sendiri dengan tinta hitam ditujukan kepada Menteri Pendidikan dan Kebudayaan dibuat pada saat tanggal pendaftaran. Demikian surat lamaran ini dibuat. Contoh surat lamaran CPNS kemenag berikut ini akan memaparkan bagaimana format surat lamaran yang baik dan benar sesuai pedoman.
Pppk Kemenag Aceh Provinsi Aceh Selatan Timur Tamiang Gayo Lues Bireuen Singkil Pidie Pijay 2019 Formasi Cpns Kabupaten Indramayu 2014 Surat L Kode Morse Surat
Source: id.pinterest.com
Badan Intelijen Negara CPNS 2021 Contoh Surat Lamaran CPNS BIN wwwbingoidkarir Login Surat lamaran yang ditujukan kepada Kepala Badan Intelijen Negara ditulis tangan dengan tinta warna hitam dan ditandatangani pelamar di atas materai. Surat lamaran CPNS lihat di pengumuman instansi. Karena menjadi incaran banyak orang tahap seleksinya sangat ketat. Ada beberapa hal perlu Kamu perhatikan sebelum menulis surat lamaran CPNS sebagaimana berikut ini. Panduan Penulisan Surat Lamaran CPNS.
Contoh Surat Lamaran Cpns 2021 Harus Ditulis Tangan
Source: ayosurabaya.com
Jadi yang paling membedakan adalah proses penulisannya yaitu media atau alat yang digunakan. Selain itu penggunaan materai 6000 juga diharuskan ketika anda menulis surat lamaran CPNS untuk dikirimkan. Adapun seluruh data dan dokumen yang saya berikan adalah benar. Karena menjadi incaran banyak orang tahap seleksinya sangat ketat. Format Surat Lamaran CPNS Format Surat Lamaran untuk mendaftar Calon Pegawai Negeri Sipil CPNS 2021.
Format Surat Lamaran Cpns Formasi Tahun 2019 Bkpp Kabupaten Demak
Source: bkpp.demakkab.go.id
CPNS Kemendikbud 2019. Jadi yang paling membedakan adalah proses penulisannya yaitu media atau alat yang digunakan. Surat lamaran CPNS lihat di pengumuman instansi. Jika mendaftar CPNS untuk pegawai Pemprov Jateng maka surat lamaran juga ditujukan kepada Gubernur Jateng. Pada umumnya surat lamaran ditulis tangan dengan tinta hitam ada pula yang menghendaki untuk diketik rapi menggunakan komputer.
Contoh Surat Lamaran Cpns Umum Dan Honorer 2018
Source: scribd.com
Format Surat Lamaran tak memiliki format baku diserahkan kepada pelamar untuk mandiri membuatnya pastikan di dalamnya mencantumkan konten surat. Karena memiliki berbagai faktor penentu lolos tidaknya pengajuan lamaran kamu. Contoh Surat Lamaran Kerja CPNS PNS atau Pegawai Negeri Sipil merupakan salah satu pekerjaan yang banyak sekali di idam idamkan oleh orang karena memiliki penghasilan diatas rata rata Namun untuk menjadi PNS saat tes seleksi administrasi CPNS tidaklah mudah. Adapun seluruh data dan dokumen yang saya berikan adalah benar. Berikut ini format penulisannya.
Contoh Surat Lamaran Cpns 2018 Kabupaten Kota Info Cpns 2021
Source: cpns.lokerpalangka.net
Surat lamaran ditulis tangan dengan tinta hitam. Surat Lamaran CPNS ditujukan kepada instansi pemerintahan yang dilamar. Lifter Indonesia Eko Yuli Irawan keempat dari kanan di barisan depan tampak duduk bersebelahan dengan pebulutangkis ganda campuran Indonesia Tontowi Ahmad saat mengikuti tes ujian CPNS di kantor Badan Kepegawaian Negara BKN Cawang Jakarta Rabu 28112018. Yang penting nyantumin formasi yang dilamar dan kualifikasi pendidikan pelamar ujar Kepala Subbagian. Dan dipertegas oleh info dari simpul9 MSi bahwa.
Contoh Surat Lamaran Cpns 2018 Kabupaten Kota Info Cpns 2021
Source: cpns.lokerpalangka.net
Tuliskan nama jelas di bagian bawah materai dapat menggunakan gelar ataupun tidak Contoh surat lamaran yang memenuhi ketentuan di Kabupaten Bandung dapat dilihat pada link httpsbkpsdmbandungkabgoid. Panduan Penulisan Surat Lamaran CPNS. Sebagai bahan pertimbangan disampaikan berkas kelengkapan yang telah diunggah sebagai berikut. Atas perhatiannya diucapkan terima kasih. Tak Perlu Bingung Ini Contoh Surat Lamaran CPNS 2019.
Cara Membuat Dan Contoh Surat Lamaran Cpns The Cronut Project
Source: thecronutproject.com
Format Surat Lamaran CPNS Format Surat Lamaran untuk mendaftar Calon Pegawai Negeri Sipil CPNS 2021. Contoh Surat Lamaran Kerja CPNS PNS atau Pegawai Negeri Sipil merupakan salah satu pekerjaan yang banyak sekali di idam idamkan oleh orang karena memiliki penghasilan diatas rata rata Namun untuk menjadi PNS saat tes seleksi administrasi CPNS tidaklah mudah. Hal ini karena surat lamaran CPNS harus dibuat dengan tulisan tangan menggunakan tinta hitam. Pada umumnya surat lamaran ditulis tangan dengan tinta hitam ada pula yang menghendaki untuk diketik rapi menggunakan komputer. Karena menjadi incaran banyak orang tahap seleksinya sangat ketat.
Contoh Surat Lamaran Untuk Pelamar Umum Cpns Kabupaten Tanah Laut
Source: bkpsdm.tanahlautkab.go.id
Bagian informasi yang berwarna hijau. Surat harus dibuat dengan tulisan tangan bertinta hitam dan dibubuhi meterai Rp6000. Pada umumnya isi surat ini sama saja dengan yang diketik menggunakan mesin ketik ataupun komputer. Dengan ini menyampaikan surat lamaran untuk dapat menjadi Calon Pegawai Negeri Sipil di lingkungan Badan Kepegawaian Negara Tahun Anggaran 2021. Karena menjadi incaran banyak orang tahap seleksinya sangat ketat.
Contoh Surat Lamaran Untuk Pendaftaran Tes Cpns Kabupaten Seluma Bkpsdm Pendidikan Tanggal Pemerintah
Source: pinterest.com
Ada banyak hal yang harus dipersiapkan saat menyiapkan surat lamaran kerja CPNS mulai dari tata bahasa dan format penulisan hingga isi surat lamaran Anda secara lengkap. Atas perhatiannya diucapkan terima kasih. Kalau nggak ada contoh berarti bebas. Tuliskan nama jelas di bagian bawah materai dapat menggunakan gelar ataupun tidak Contoh surat lamaran yang memenuhi ketentuan di Kabupaten Bandung dapat dilihat pada link httpsbkpsdmbandungkabgoid. Surat harus dibuat dengan tulisan tangan bertinta hitam dan dibubuhi meterai Rp6000.
Contoh Surat Lamaran Cpns 2018 Kabupaten Kota Info Cpns 2021
Source: cpns.lokerpalangka.net
Kalau nggak ada contoh berarti bebas. Contoh surat lamaran CPNS kemenag berikut ini akan memaparkan bagaimana format surat lamaran yang baik dan benar sesuai pedoman. Dengan ini menyampaikan surat lamaran untuk dapat menjadi Calon Pegawai Negeri Sipil di lingkungan Badan Kepegawaian Negara Tahun Anggaran 2021. Pada umumnya surat lamaran ditulis tangan dengan tinta hitam ada pula yang menghendaki untuk diketik rapi menggunakan komputer. Atas perhatiannya diucapkan terima kasih.
Surat Lamaran Kerja Cpns Kemenkumham Tulisan Surat Pendidikan
Source: pinterest.com
Ada beberapa hal yang perlu diperhatikan dalam membuat surat lamaran CPNS. 25 contoh surat lamaran CPNS 2019 untuk daftar di scasnbkngoid di 8 lembaga pemerintahan dan 17 lembaga non Pemerintahan. Ada banyak hal yang harus dipersiapkan saat menyiapkan surat lamaran kerja CPNS mulai dari tata bahasa dan format penulisan hingga isi surat lamaran Anda secara lengkap. Jadi yang paling membedakan adalah proses penulisannya yaitu media atau alat yang digunakan. Hal ini karena surat lamaran CPNS harus dibuat dengan tulisan tangan menggunakan tinta hitam.
This site is an open community for users to do submittion their favorite wallpapers on the internet, all images or pictures in this website are for personal wallpaper use only, it is stricly prohibited to use this wallpaper for commercial purposes, if you are the author and find this image is shared without your permission, please kindly raise a DMCA report to Us.
If you find this site adventageous, please support us by sharing this posts to your favorite social media accounts like Facebook, Instagram and so on or you can also save this blog page with the title bolpoint tinta hitam menulis lamaran cpns by using Ctrl + D for devices a laptop with a Windows operating system or Command + D for laptops with an Apple operating system. If you use a smartphone, you can also use the drawer menu of the browser you are using. Whether it’s a Windows, Mac, iOS or Android operating system, you will still be able to bookmark this website.
